Fast Red F3RK
1. Product Name
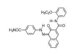
Trade Name:Fast Red F3RK 
C.I. Number: Pigment Red 170
CAS Number: 2786-76-7
EU Number:220-509-3
Chamical Family:Mono azo
2. Physical, Chemical and Fastness Properties
Molecular Weight:454.48
Molecular Formula:C26H22N4O4
P.H. Value:6.5-7.5
Density: 1.5
Oil Absorption(ml/100g):35-45
Light Fastness: 7
Heat Resistance:180℃
Water Resistance: 5
Oil Resistance: 5
Acid Resistance: 5
Alkali Resistance: 5
3. Application
Shade: Yellowish Red
Main Application: Industrial Paint and Automotive Paint
Can Use: Water base Coating and Plastic
|